Beat365中国唯一官方网站关于2024年高职对口中职(2+3直升)自主招生考试成绩的公示
根据《自治区招生考试院关于做好我区 2024 年高职院校分类考试招生工作的通知》(桂考院〔2023〕227 号)《Beat365中国唯一官方网站2024年高等职业院校对口中等职业学校毕业生(2+3直升)自主招生考试工作方案》〔2024〕5 号等文件精神,按照《Beat365中国唯一官方网站 2024 年高等职业院校对口中等职业学校毕业生(“2+3”直升)自主招生简章》相关规定,Beat365严格按程序组织符合条件的同学进行自主招生考试,现将考生成绩公示如下(见附件)。
公示时间:2024年3月19日至2024年3月25日
如对公示内容有异议,请以实名方式提出书面情况说明进行反馈。
反馈部门:招生与就业处
地 址:明秀东路179号Beat365中国唯一官方网站办公楼108办公室。
电 话:0771-3126099。
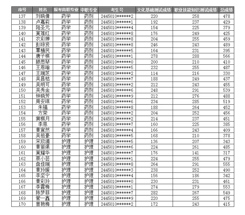
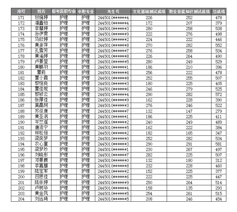
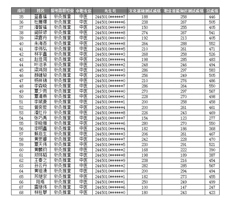
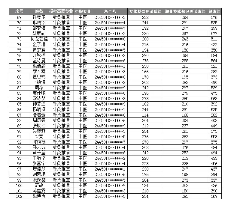
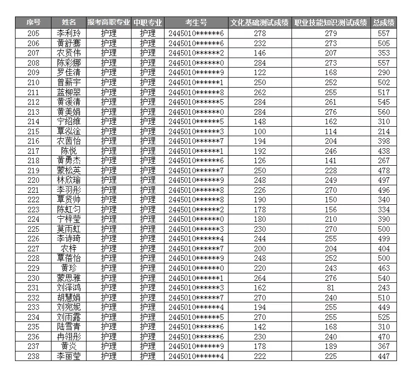
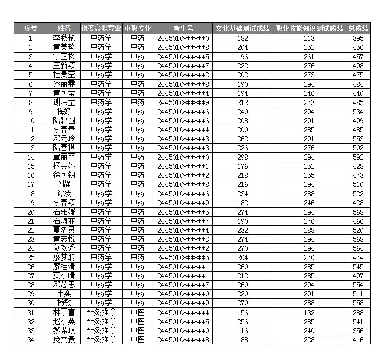
附件:Beat365中国唯一官方网站2024年高职对口中职(“2+3”直升)自主招生考试成绩表
Beat365中国唯一官方网站招生与就业处
2024年3月19日
附件:
Beat365中国唯一官方网站2024年高职对口中职(“2+3”直升)自主招生考试成绩表


单点登录
账号密码登录