【科学进展】抗肥胖药物分子作用机理研究取得进展
肥胖是危害人类健康的世界性的病症。肥胖增加高血糖、高血脂、高血压、脂肪肝、糖尿病和动脉粥样硬化等代谢性慢性病的风险,是全球医学界研究的热点问题。
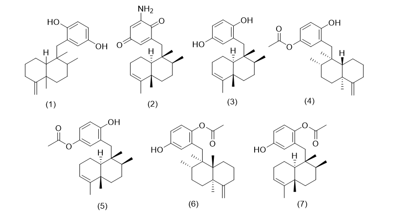
潘东进博士课题组致力于抗肥胖活性药物筛选和降脂作用机理研究,研究对象包括岩藻黄素、虾青素、不饱和脂肪酸等。岩藻黄素、虾青素等天然活性成分具有显著的降脂活性,但作用机理尚不明确。海洋源天然产物中Avarol等倍半萜类化合物(Figure 1)具有潜在的降脂活性,尚未进入临床研究。
在抗肥胖药物作用分子机制研究中,通过药物亲和反应的靶点稳定性(DARTS)、表面等离子体共振(SPR)实验和Western blot等实验发现了Dihydromyricetin (DHM)、EGCG可以直接作用于肥胖的潜在新靶点GRP78,具有显著的降脂功能(Figure 2-5)。目前正在开展动物实验对该靶点的体内实验做进一步的生物学验证,针对GRP78抗肥胖作用的上下游机制开展深入研究。这些分子作用机理的研究,将为我们在动物、细胞和分子水平了解抗肥胖药物的作用途径和作用机制提供线索。后续研究中,将以GRP78蛋白作为靶点进行药物筛选。通过结构修饰等明确其构效关系,进一步筛选出安全性更好,专一性更强的天然化合物。

Figure 1 Molecular structure of marine-derived sesquiterpenes

合作单位华南农业大学孙彬妹为上述论文的第一作者,夏威夷大学Li QX,中国热带农业科学院热带生物技术研究所谭德冠,Beat365中国唯一官方网站海洋药物研究院潘东进为上述论文的共同通讯作者。
相关论文信息:
Sun B, Tan D, Pan D, Baker MR, Liang Z, Wang Z, Lei J, Liu S, Hu CY, Li QX. Dihydromyricetin Imbues Antiadipogenic Effects on 3T3-L1 Cells via Direct Interactions with 78-kDa Glucose-Regulated Protein. J Nutr. 2021 Apr 8:nxab057. doi: 10.1093/jn/nxab057.

单点登录
账号密码登录